大杨树信息网小编给大家带来这篇有关于最新版热血江湖经验表免费下载的经验攻略文章,和小编一起来学习吧
《热血江湖》是一款以中国古代武侠为背景的网络游戏,其内容丰富,玩法多样,深受广大玩家的喜爱。
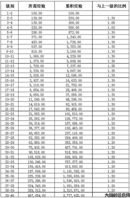
随着游戏的不断发展,热血江湖经验表也不断更新,新增了很多内容,可以帮助玩家更好地在游戏中提升自己。

最新版的热血江湖经验表包含了许多重要的信息,其中包括武学秘籍、道具使用方法、战斗技巧等。
在下载最新版热血江湖经验表之前,需要保证你已经拥有游戏账号,否则将无法使用经验表。
首先,打开游戏官方网站,找到最新版的经验表下载链接。

然后,点击下载链接,等待下载完成。
下载完成后,将经验表导入游戏中,在游戏中按照经验表提供的信息进行操作即可热血江湖sf。
使用热血江湖经验表可以帮助玩家更好地了解游戏中的技能、道具等信息,增强玩家的操作能力。热血江湖私服
此外,经验表中还包括了许多游戏中的小技巧和战斗技巧,可以帮助玩家更快地击败敌人,提升等级热血江湖sf。
总之,使用最新版的热血江湖经验表可以为玩家提供更好的游戏体验,让游戏玩家更快地提升自己的实力。
热血江湖是一款非常优秀的网络游戏,其深厚的文化底蕴和精彩的玩法吸引了大量的玩家。下载最新版的热血江湖经验表,可以帮助玩家提升自己的实力,更好地享受游戏的乐趣热血江湖私发网。
本文由传世信息网于2025-08-15发表在大杨树网,如有疑问,请联系我们。
本文链接:https://www.dysz.net/dys/5427.html