上一篇
大杨树信息网热血江湖私服小编给大家带来这篇有关于《热血江湖》经验表大全,尽在图片集!的经验攻略文章,和小编一起来学习吧
《热血江湖》是一款以武侠为题材的游戏,在游戏中,玩家需要通过打怪升级、完成任务等方式提高自己的战斗实力,与其他玩家进行对战。经验值是衡量玩家等级及实力的重要指标。

在《热血江湖》中,玩家可以通过以下方式获取经验值:
打怪:在游戏中,主要通过打怪获得经验值。

完成任务:通过完成主线任务、支线任务、日常任务等方式也可以获取经验值。
组队升级:与其他玩家组队打怪,经验值会得到加成。
参加活动:游戏中经常会有各种活动,参加活动也可以获取经验值。
使用经验药水:游戏中也有各种经验药水,使用后可以直接获得一定量的经验值。
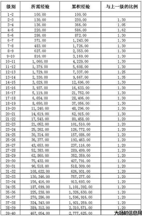
以下是《热血江湖》中各个等级所需的经验值表:
在《热血江湖》中,等级越高,所需的经验值也越高。但是,等级越高,每次升级所需的经验值也会越高,这是因为高等级的玩家实力更强,只有通过更多的挑战和努力才能提高实力。
经验值是《热血江湖》中非常重要的指标,它直接关系到玩家的实力和等级。在游戏中,玩家可以通过打怪、完成任务、组队升级、参加活动、使用经验药水等方式获取经验值。随着等级的提高,所需的经验值也会不断增加,这也要求玩家在游戏中不断挑战和努力,提高自己的实力。
本文由传世信息网于2025-10-13发表在大杨树网,如有疑问,请联系我们。
本文链接:https://www.dysz.net/dys/2610.html